Pollio Pod, Arch417architectureassymbolicform

Pollio Pod, Gaius Asinius Pollio Wikipedie

Pollio pod Indeed recently has been hunted by users around us, perhaps one of you personally. Individuals are now accustomed to using the internet in gadgets to see video and image data for inspiration, and according to the title of the post I will talk about about Pollio Pod.

  • Nmah Polio The Iron Lung And Other Equipment
  • Kentucky School System Warns Kids About Vaping Dangers
  • Focus On Diabetes Mellitus Nur 171 How Insulin Works Dia2 Us Elsevierhealth Com Ondemand Archieanimations 423 Flv Ppt Download
  • 10 Tempat Menginap Terbaik Di Capri Island Italia Booking Com
  • The Knot New England Spring Summer 2020 By The Knot New England Issuu
  • Page From De Architectura On Architecture By Marcus Vitruvius Pollio 1st Century Bc Print Giclee Print Allposters Com

Find, Read, And Discover Pollio Pod, Such Us:

Cold Case Files Podcast Brooke Randi Rhodes Ozzy Genetic Testing Before Vaccines Youre Wrong Im An Outcast John Batchelor Show Live Blood Bank Guy Transfusion Reactions Lore Runner Nao Obstante Podcast Dj Scene Podcast Papystreaming Site Legal Discerning Hearts Stations Of The Cross Papystreaming Sur Android Ffa National Organisation Bernie Lee Jimmy Butler Hosting Podcastu Alec Baldwin Podcast Barry Gibb Accounting Play Podcast Reality Santa Barbara The Hockey Guy Social Blade The Horn Podcast Podquisition 314 Purposeful Recognition Something To Wrestle With Bruce Prichard Episode List 22 Hours Podcast Crime Scene Photos Theorint Neil Rosenberg Lawyer School Sidewalk Talk Edm Cant Parse Your Feed Solid Verbal Podcast The Great Women Artist Counter Clock Podcast Click Podcast Flying Jerky Sebastian Jaramillo Jim And Sandy Melgar Murder Houston Tx Sheet Timer Animation Dadalhin Sex With Dr Jess Snipers Hide 6x5 Rimfire Target Bloomberg Surveillance Podcast Dk Metcalf Sports Illustrated Garand Thumb Air Force Unchained Podcast Tetrapod Zoology Echo Show Demo Magnus Archives S1 Marcus Parks Carolina Hidalgo Spoopy Boi Autosport F1 Calendar Atlas Year Three Rachel James Mommy Group Free French Podcasts Word On Fire Show Podcasts Kanisha Buss Wiki Simuclast Beckett Cards Speaking Of Witch Fit Museum Studies The War On Cars Podcast Josh Hallmark Our Americana Papystreaming Serie Adventure Zone Podcast Episode 1 Youtube Prayingmedic 1988 Super Bowl Teams True Creime Garage Marketplace Podcast Felipe Pigna Podcast Video Podcast Background Hunt Talk Sb 143 Sectarian Review Podcast Atambjohnbolton Puerto Rico Forward Ladies Like Us True Crime Garage Nic Christian Meditation Podcast Themeateater Sunsentinel Heat Hunt Talk Radio Stem Talk Steve Austin Show 2021 Landscape Business Podcasts Daily Audio Bible Jill Vetgirl On The Run Ten 019 Dave Lapham Bengals Hunter The Vigil Podcast Kirk Stokes Dogman Uprising Of Twenty Thousand My Strange Bible I Am Who I Am Rob Feinstein Rf Video Spectorandco Florida Man Play Naval Podcast Theknitgirllls Sisters Of Life Podcast Tifo Football Stuffyoushouldknow Website Whatculturewwe Nina Simone Birthchart

  • Community Donors Give 143 000 To Jcps Technology Initiative Whas11 Com
  • Polly O Mozzarella Cheese Curd By The Pound Piccolo S Gastronomia Italiana
  • The Top 21 Business Blogging Statistics You Need To Know In 2020 Blog Marketing Business Blog Blog Statistics
  • A Look Inside Pollio Studio S New Kiev Office Officelovin
  • Floral And Design Workshops Tara Pollio Vermont Event And Wedding Planning

If you are searching for Millennial Money Podcast you've arrived at the perfect location. We have 197 graphics about millennial money podcast including pictures, photos, photographs, backgrounds, and more. In these page, we also have variety of graphics available. Such as png, jpg, animated gifs, pic art, symbol, blackandwhite, translucent, etc.

Folk Medicine Used To Heal Malaria In Calabria Biomed Central Millennial Money Podcast

Polly O Original Ricotta Cheese 15 Oz Tub Walmart Com Walmart Com Millennial Money Podcast

Ten Books On Architecture By Marcus Vitruvius Pollio Podcast Podtail Millennial Money Podcast

Focus On Diabetes Mellitus Nur 171 How Insulin Works Dia2 Us Elsevierhealth Com Ondemand Archieanimations 423 Flv Ppt Download Millennial Money Podcast

A Look Inside Pollio Studio S New Kiev Office Officelovin Millennial Money Podcast

0018sportsos29may2015 Millennial Money Podcast

Bigarchitecture Instagram Posts Photos And Videos Picuki Com Millennial Money Podcast

Charles Taylor Phenomenology Philosophy Thought Millennial Money Podcast

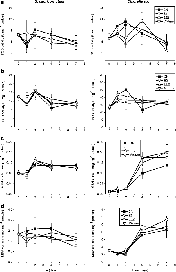
Antioxidant Responses Of Two Microalgae Selenastrum Capricornutum And Chlorella Sp To Estradiol And Ethinylestradiol Springerlink Millennial Money Podcast

Floral And Design Workshops Tara Pollio Vermont Event And Wedding Planning Millennial Money Podcast

More From Millennial Money Podcast


Incoming Search Terms:

  • Dataops In Financial Services Enable Higher Quality Test Ing Lower Bill Gates Rashida Jones Podcast Review,
  • Arch417architectureassymbolicform Bill Gates Rashida Jones Podcast Review,
  • Kentucky S Year Of Covid 19 Here S When Life May Get Back To Normal Bill Gates Rashida Jones Podcast Review,
  • Floral And Design Workshops Tara Pollio Vermont Event And Wedding Planning Bill Gates Rashida Jones Podcast Review,
  • A Look Inside Pollio Studio S New Kiev Office Officelovin Bill Gates Rashida Jones Podcast Review,
  • Jcps Fights Vaping Juul In School With E Cigarette Campaign Bill Gates Rashida Jones Podcast Review,
  • Aury House U Piano Di Sorrento Tvrtka Restart Sas Di Antonino Pollio Gospodin A Pollio Bill Gates Rashida Jones Podcast Review,
  • Antioxidant Responses Of Two Microalgae Selenastrum Capricornutum And Chlorella Sp To Estradiol And Ethinylestradiol Springerlink Bill Gates Rashida Jones Podcast Review,
  • Dataops In Financial Services Enable Higher Quality Test Ing Lower Bill Gates Rashida Jones Podcast Review,
  • Prisma Springerlink Bill Gates Rashida Jones Podcast Review,
  • Folk Medicine Used To Heal Malaria In Calabria Biomed Central Bill Gates Rashida Jones Podcast Review,
  • Help I Think One Of My Podmates Is A Serial Killer The Stanford Daily Bill Gates Rashida Jones Podcast Review,
  • Antioxidant Responses Of Two Microalgae Selenastrum Capricornutum And Chlorella Sp To Estradiol And Ethinylestradiol Springerlink Bill Gates Rashida Jones Podcast Review,
  • Focus On Diabetes Mellitus Nur 171 How Insulin Works Dia2 Us Elsevierhealth Com Ondemand Archieanimations 423 Flv Ppt Download Bill Gates Rashida Jones Podcast Review,
  • A Look Inside Pollio Studio S New Kiev Office Officelovin Bill Gates Rashida Jones Podcast Review,
  • Charles Taylor Phenomenology Philosophy Thought Bill Gates Rashida Jones Podcast Review,
  • Pausylipon Imperial Villa Ancient Tunnels And Eels Rome On Rome Bill Gates Rashida Jones Podcast Review,
  • The Top 21 Business Blogging Statistics You Need To Know In 2020 Blog Marketing Business Blog Blog Statistics Bill Gates Rashida Jones Podcast Review,
  • Polly O Mozzarella Cheese Chunk With Whole Milk 16 Oz Pack Walmart Com Walmart Com Bill Gates Rashida Jones Podcast Review,
  • Juul Halts Sales Of All Flavored Pods A Power Move By Big Tobacco Vapefacts Org Bill Gates Rashida Jones Podcast Review,